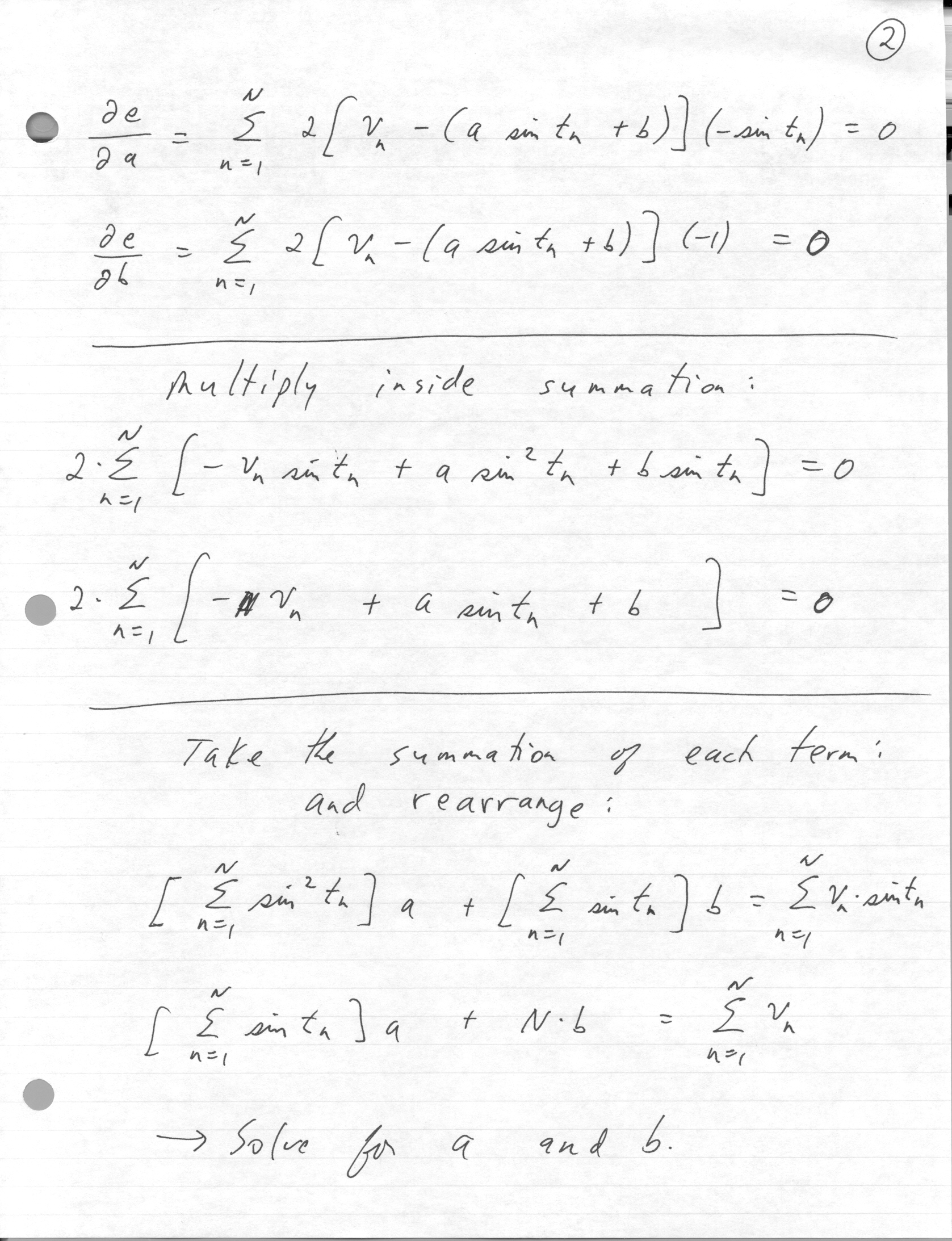
ELEC 471: Least Squares Estimation Example